MATEMATICA APPLICATA (AL CAFFE’)
pubblicato da: Riccardo Lucatti - 12 Settembre, 2017 @ 9:39 amDetto altrimenti: dopo tanti post su viaggi e filosofia, un po’ di matematica           (post 2828)
Un caffè? Si, ma quale? Infatti c’è caffè e caffè! Vediamo un poco: freddo, caldo, corto, lungo, amaro, zucchero normale, dolcificante, in tazza grande, in tazza piccola, in vetro, macchiato caldo, macchiato freddo, con latte a parte, corretto grappa, corretto fernet, decaffeinato. E mi fermo qui, tralasciando le serie dei cappuccini e dei “marocchini†(mini cappuccini a metà fra il cappuccino ed il caffè macchiato).
.
.
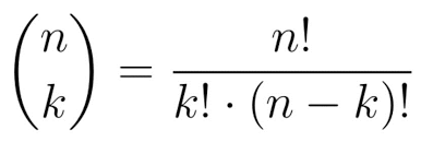
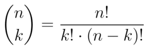
Ora si tratta di calcolare quante sono le combinazioni senza ripetizione di queste 16 variabili. Per far ciò ci viene in aiuto la matematica con la sua formula di (n/k) fattoriale: per calcolare il totale infatti basta moltiplicare 16 x 15 x 14 x 13 x 12 x 11 … etc. fino a … x 1.
Quanto fa? Ecchè? Devo fare tutto io? Calcolatelo voi …
Buon caffè a tutti!
.


















